Daily Regulatory Notes 01/22/2025
Cities address STRs. Beverly Hills, CA approves temporary ordinance; Los Angeles County, CA schedules vote; Paonia, CO halts enforcement; Geneva, NY enforces regulations; Chelan County, WA proposes amendments. READ MORE.

Every day, we bring you a detailed overview of recent news and updates about primary decisions, community feedback, or legislative changes relevant to the short-term rental industry. 📰
Beverly Hills, CA
In a special meeting, the Beverly Hills City Council approved a temporary urgency ordinance suspending short-term rental restrictions for 90 days due to the housing crisis caused by recent wildfires in Los Angeles County.


You can also read the report here.
This ordinance allows single-family homes and multi-family units to be rented for any duration to displaced individuals, with property owners required to submit proof of displacement. Emergency short-term rentals and hotel rooms are also exempt from the Transient Occupancy Tax (TOT) and business taxes. Violations can be reported to the city’s customer service.
Los Angeles County, CA
The Los Angeles County Board of Supervisors voted on Jan. 21, 2025 on emergency measures to address housing challenges caused by recent fires, including temporary changes to short-term rental (STR) regulations.
Proposed policies would allow Airbnb hosts to list multiple properties including accessory dwelling units (ADUs), to expand housing options for displaced families.
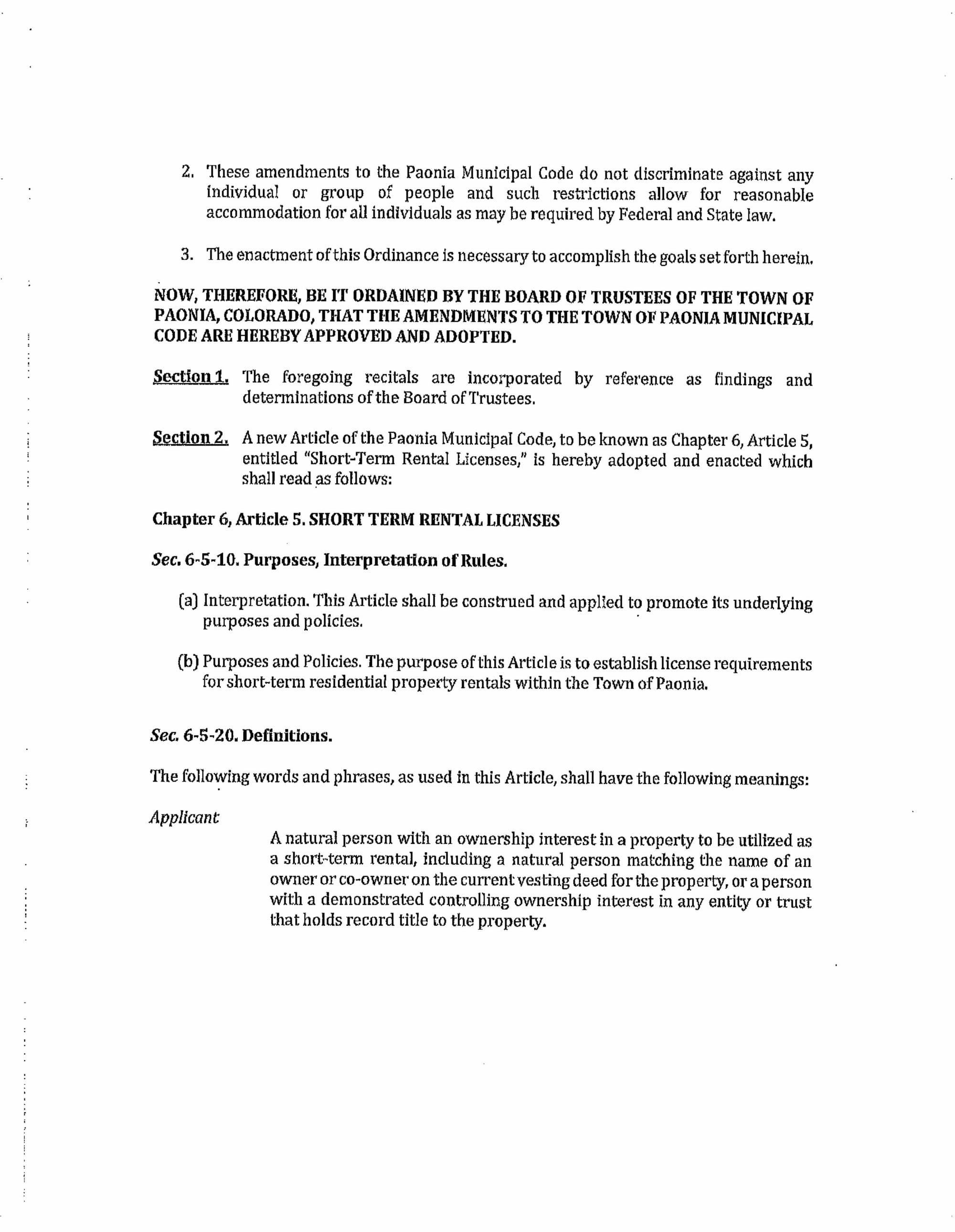
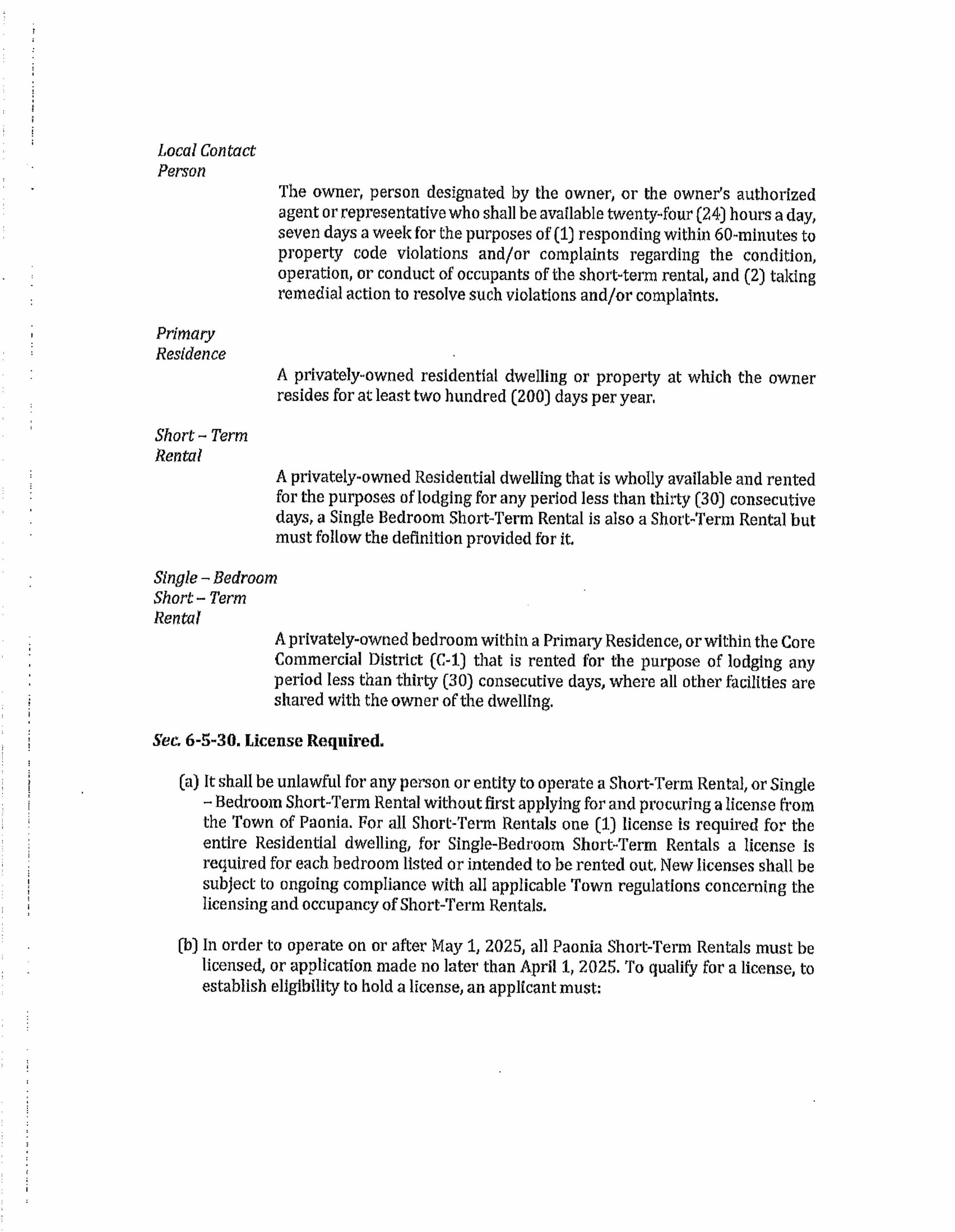
```Paonia, CO
Paonia residents halted the implementation of a short-term rental ordinance through a petition, forcing a special election on April 1. Public feedback highlighted dissatisfaction with the ordinance’s perceived overreach, such as high fees, restrictive caps, and unclear rules.
```Residents called for a distinction between owner-occupied rentals and investment properties, and local businesses stressed STRs' economic importance.



Preview of Paonia's STR Ordinance.
Geneva, NY
Geneva's revised short-term rental regulations approved in June are now fully in effect requiring property owners to register online, pay a $250 fee for a two-year permit, and pass inspections aimed at reducing neighborhood disruptions. Inspections begin this month.
City Manager Amie Hendrix highlighted that the changes align with New York's new statewide STR registry and expressed optimism about introducing an occupancy tax, pending state legislative approval.
Chelan County, WA
Chelan County’s Board of County Commissioners (BOCC) gathered public input on Jan. 14 regarding proposed changes to the short-term rental (STR) code, following recommendations from the Planning Commission.
Key proposals include maintaining percentage caps on STRs, keeping the purpose statement highlighting STRs’ negative housing impact, and requiring Tier I rentals to have on-site owners rather than managers. Public comments included requests to align occupancy rules with booking platform guidelines and calls for better inclusion of Stehekin in the STR code. A final decision is expected on Jan. 28.
```