Daily Regulatory Notes 02/03/2025
Cities address STRs. Milton, DE schedules public workshop; Rochester, MA rejects proposed bylaw; Two Rivers, WI considers amendments; Hawaii reports STR performance; Niskayuna, NY updates ordinance; Falmouth, MA appoints committee; Utah advances bill; Narragansett, RI delays registration. READ MORE.

Every day, we bring you a detailed overview of recent news and updates about primary decisions, community feedback, or legislative changes relevant to the short-term rental industry. đź“°
Milton, DE
Milton’s Planning and Zoning Commission is working on an advisory report for town council regarding short-term rentals with a public workshop scheduled for Feb. 3 at noon. The commission was directed to study potential regulations in response to resident concerns and a desire to prepare for an anticipated increase in vacation rentals.


READ: Resolution 2025-001
The commission aims to finalize its report by March.
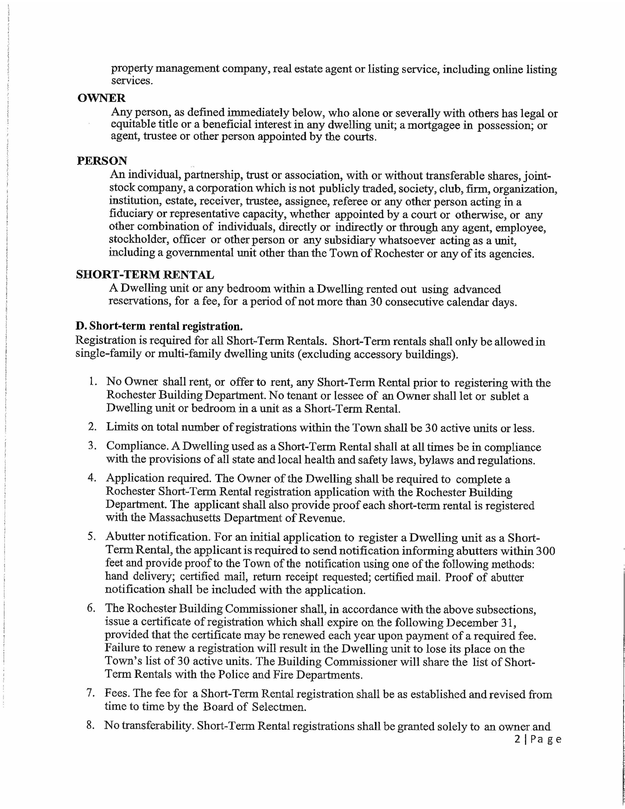
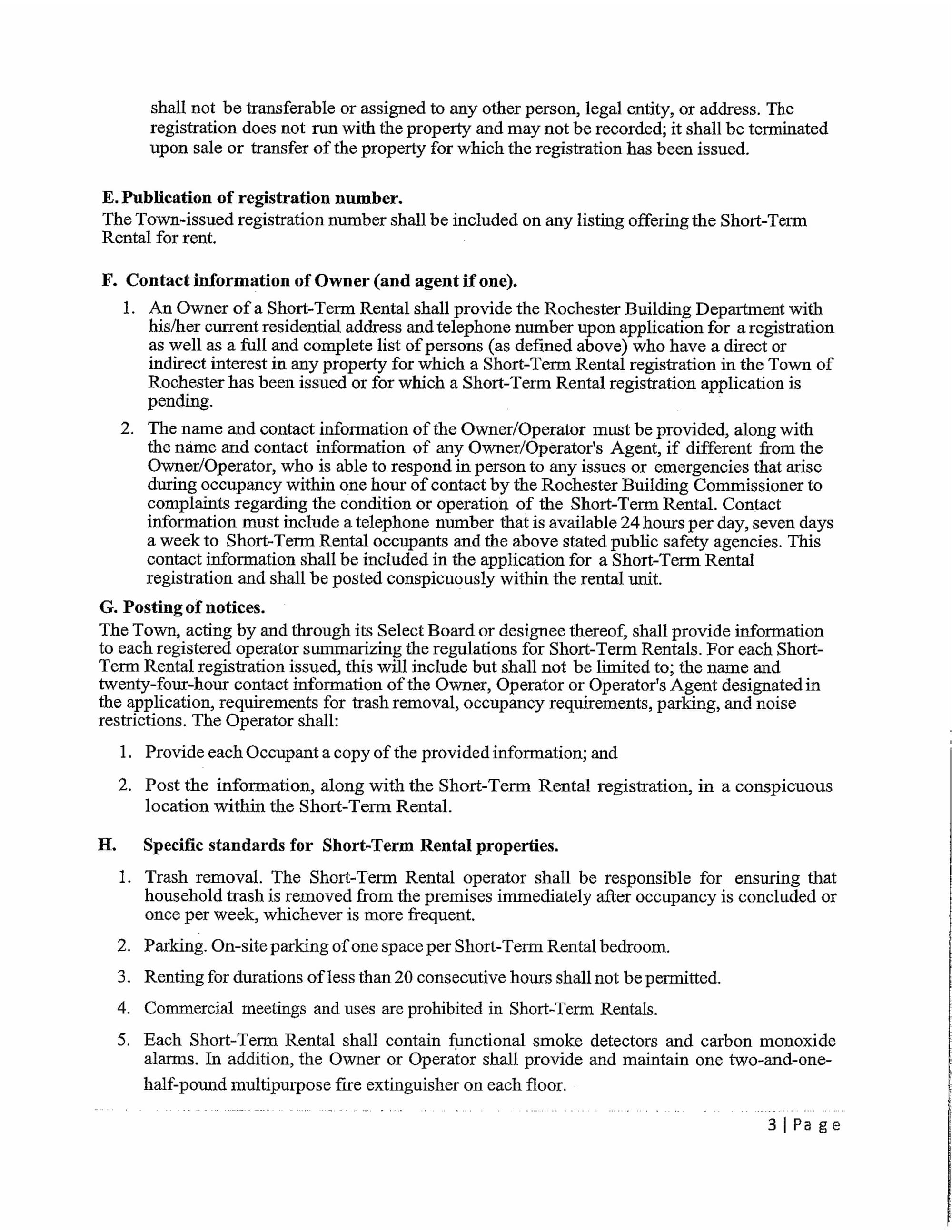
```Rochester, MA
Rochester voters rejected a proposed zoning bylaw that would have imposed new regulations on short-term rentals during the Jan. 27 Special Town Meeting. The bylaw would have required property owners to register with the building department, maintain a guest log, and comply with rental duration limits, while also capping the total number of short-term rentals at 30.



Read the Proposed Zoning Bylaw here.
Voters also declined to approve additional local restrictions on accessory dwelling units beyond the requirements of the state’s Affordable Homes Act, with planning officials suggesting the town wait until state guidelines are fully established before making changes.
Two Rivers, WI
The City of Two Rivers is considering changes to its short-term rental regulations focusing on occupancy limits and transparency for residents about licensed properties. During a January 27th work session, the council explored updates with City Attorney Andrew Adams discussing topics like license revocation criteria and outdoor lighting standards.



Read about Two Rivers' STR regulations here. (pgs. 31-40)
City Manager Greg Buckley reassured that any updates would not impact the 2025 licensing period as current licenses run from January to December.
```Hawaii
Hawaii's vacation rental market is experiencing a sharp decline with 2024 occupancy rates dropping to 52% compared to 73% for hotels. This marks a significant shift from 2019 when rentals were nearly as popular as hotels.

The decline is most severe in Maui, where post-Lahaina fire disruptions and tightening regulations have contributed to a 33-point drop in occupancy. Meanwhile, rising nightly rates—averaging $323 statewide and $389 on Maui—are driving travelers toward hotels, which offer consistent service, loyalty programs, and competitive pricing.
Niskayuna, NY
The Niskayuna Town Board has updated its short-term rental ordinance voting 3-1 on Tuesday to implement new restrictions. Under the revised law, hosts must be on-site during rentals, occupancy is capped at two guests per bedroom plus the host, and parking is limited to one vehicle per bedroom.

The decision followed months of public discussion, with some residents advocating for a full ban while others pushed for a more lenient approach. While the new rules are now in effect, full enforcement will begin in March after administrative adjustments.
Falmouth, MA
A new committee dedicated to short-term rental reform is set to be appointed by the select board in February, aiming to refine a bylaw for future consideration at Town Meeting.
The town previously postponed a short-term rental bylaw at November’s Town Meeting hoping to bring it back in April, but it will not be included in the April 7 warrant. The seven-member committee will focus on gathering public input, with community leaders advocating for diverse representation, including short-term rental owners, neighbors, and neutral parties.
Birmingham, AL
The City of Birmingham has filed a lawsuit seeking to declare a short-term rental in the College Hills neighborhood a public nuisance due to repeated incidents of violence.
City Attorney Nicole King is pursuing legal action against Infinity Investments LLC and property manager Jabari Ayinde Mosley citing police reports of multiple shootings at the property over the past year. Authorities say the rental has been the site of escalating gun violence, including a February 2024 incident with 14 shell casings found on the porch, an August incident with 266 shell casings, and a New Year's event where gunfire hit occupied homes.
Utah
Utah may soon give local officials more power to enforce short-term rental rules as lawmakers advance HB256 – a bill allowing municipalities to use rental listings as supporting evidence of violations.
Currently, local governments cannot use Airbnb or Vrbo listings to track unlicensed rentals, relying instead on complaints. Sponsored by Rep. Neil Walter, the bill aims to provide enforcement tools while preserving local authority. The bill has faced no opposition so far.
Narragansett, RI
The Town of Narragansett has delayed the registration of short-term and summer-only rentals due to an ongoing legal challenge against its new short-term rental ordinance which is currently under a temporary restraining order.
Until the litigation is resolved, rental properties must register under the town’s existing ordinance (Sections 14-518 to 14-520), requiring owners to complete registration with the Building Inspector before renting to tenants. The registration period has been extended until February 24, 2025, with a $120 per-unit fee due by that date. Owners who have not yet registered are urged to do so within the next 30 days.


Maui, HI
Maui is grappling with growing uncertainty over short-term rental regulations that may disrupt both visitor accommodations and the local economy. A proposed law to eliminate 7,000 vacation rentals, especially in apartment-zoned areas, is scheduled for implementation by June 2025, but a pending economic report and legal disputes have delayed its progress.
The proposed crackdown aims to free up housing for residents, but it also risks diminishing visitor lodging options, creating a ripple effect in the island's tourism industry.