Daily Regulatory Notes 06/05/2025
Cities address STRs. Wilmington, DE handles lawsuit; West Fargo, ND passes first reading; Selbyville, DE considers ban; National City, CA proposes ordinance; Clayton, MO reviews ordinance; Preble, NY discusses dispute. READ MORE.

Every day, we bring you a detailed overview of recent news and updates about primary decisions, community feedback, or legislative changes relevant to the short-term rental industry. đź“°
A new lawsuit filed in Delaware federal court accuses Airbnb of unlawfully excluding shareholder resolutions from its June 4 proxy ballot.



Read the full lawsuit here.
Alliance Defending Freedom (ADF) attorneys, representing The Heritage Foundation and the American Conservative Values ETF, allege that Airbnb violated federal securities rules by ignoring properly submitted proposals. The resolutions, which address concerns over Airbnb’s political bias and content moderation policies, were reportedly omitted without explanation, while a left-leaning resolution was included.
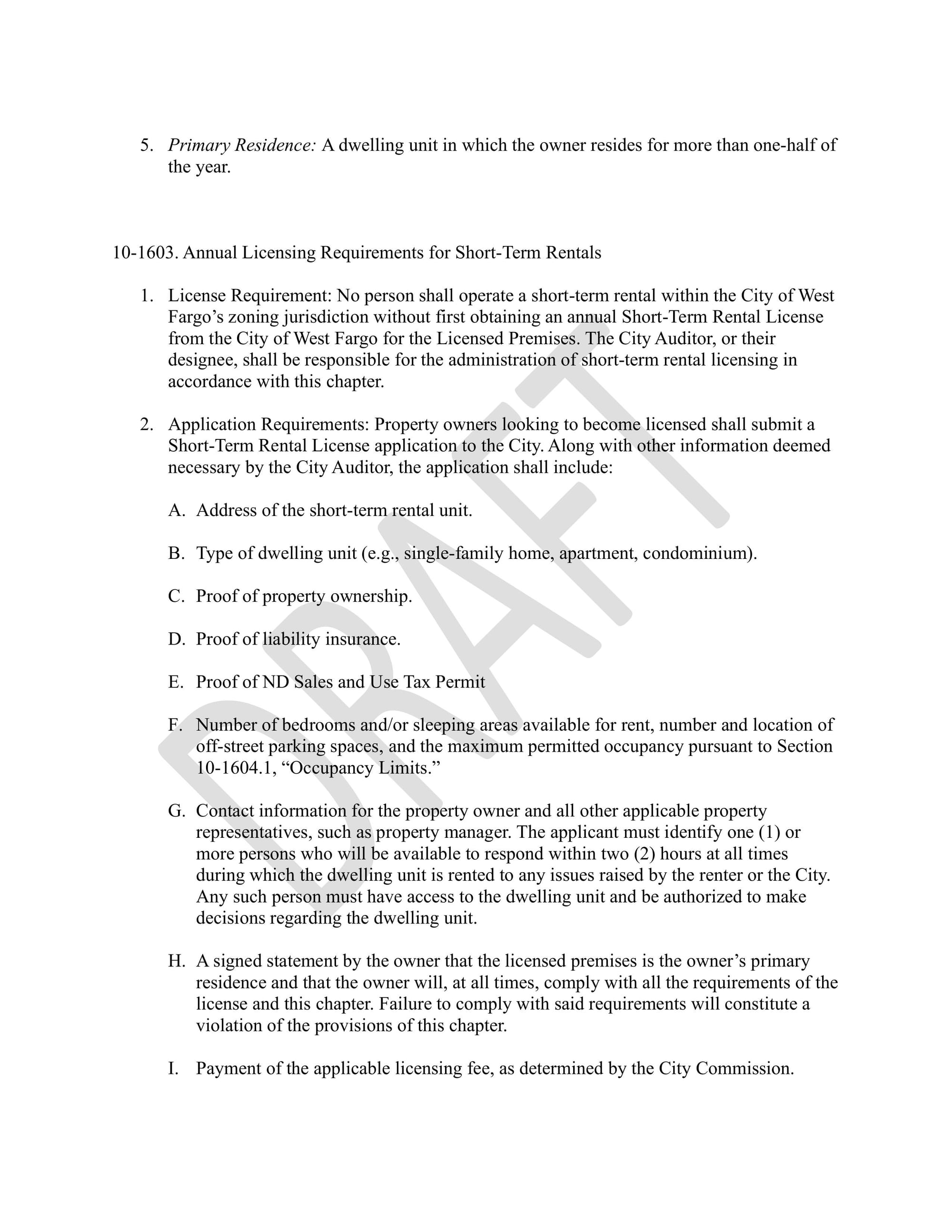
West Fargo’s City Commission passed the first reading of a short-term rental ordinance that would impose licensing requirements, limit rentals to primary residences, and restrict occupancy to five unrelated individuals—mirroring rules for long-term housing.



The vote passed 3–2, with the mayor and two commissioners supporting the measure as a way to curb party complaints and preserve neighborhood character. Properties owned by LLCs or business entities would not qualify, and existing non-primary rentals would be grandfathered in for about 16 months. Licensing would cost $150 annually, and enforcement would include a 30-day grace period followed by penalties. A second reading is expected at the commission’s next meeting, with final adoption likely by September 1.
Selbyville officials are considering a formal ban on short-term rentals, citing the need to clarify town code that currently lacks a definition for such properties. Under the proposal, all rentals under one year would be prohibited across all zoning districts.
A public hearing is scheduled for July 7, giving residents a chance to weigh in before any final decision is made.
National City is pushing forward—cautiously—on short-term rental regulation. An initial ordinance was presented to city council this week, aiming to bring oversight to an estimated 200 unregulated STRs that have drawn complaints over noise, crime, and tax losses.
The proposal would require registration, permits, and a local contact for each rental. Staff will aim to present a revised version at the June 17 meeting, with potential community engagement opportunities in July as discussions continue.
Clayton may soon legalize short-term rentals for the first time, with a new ordinance under review that would allow limited rentals in downtown’s high-density commercial district.
The proposed rule, spurred by Schlafly Corp.'s plan to turn its underused office building into a blend of short-term lodging and restaurant space, would cap rentals at four units per building, require permits and local oversight, and ban large gatherings. The draft excludes multi-family housing from eligibility, aiming instead to target vacant commercial properties. A public hearing before the Plan Commission is scheduled for June 16, with a final vote by the Board of Aldermen expected if approved.
The ongoing dispute over short-term rentals on Song Lake has reached the courts with several STR owners suing the Town of Preble after it enacted a December 2024 law requiring all rentals to cease within three years.

Read the Short-Term Rental Local Laws here.
The lawsuit centers on the law’s contested passage which failed to achieve a supermajority following a non-approval recommendation from the county planning board. The county’s planning board had urged the town to clarify enforcement, assess tourism impacts, and offer a path to legalize rentals.
Stay Updated with STRisker
STRisker offers tools and features to keep you updated with the Short-Term Rental movement across the U.S.
STRisker Calendar Tracker
Staying ahead of STR regulations isn’t just about deadlines—it’s about knowing what’s coming. Our Calendar Tracker keeps you informed on upcoming meetings, key votes, and policy changes, so you never miss a critical update.
👍 We’d love your feedback.
Which stories hit? Which ones missed?
We're constantly refining Daily Notes to make it even more useful for you.
✉️ Just reply directly to this email. We read and respond to every message!
-Will McClure
🙋 P.S.
Know someone else who should be reading Daily Notes? Feel free to forward this along. We’re opening a few more spots.