Daily Regulatory Notes 10/14/2025
Cities address STRs. Norfolk, VA approves measure; Nantucket, MA votes on article; Solvang, CA refines ordinance; Falmouth, MA drafts bylaw; DuPage County, IL schedules vote today; Hudson, WI opens new application; Scottsdale, AZ; Franklin County, VA; Santa Fe, NM. READ MORE.
Norfolk is raising its short-term rental tax starting January 1, 2026, increasing the fee from a flat $3 per night to $3 per night per bedroom.
The City Council approved the measure 6–1, with Councilor J.P. Paige dissenting, calling the new structure “overboard” and “unfair” to homeowners who rely on rentals for extra income.The new rate will be paid by guests and collected by rental platforms like Airbnb.
Nantucket’s Finance Committee has added another layer to the island’s short-term rental debate, voting 4–3 to endorse Article 1 — the measure that would legalize short-term rentals as a principal use without limits — while unanimously rejecting the Planning Board’s alternative.
The decision sets up a clear clash at the Nov. 4 Special Town Meeting, where voters will choose between Article 1’s full codification and Article 2’s capped framework of 49 summer rental days and 70 days annually. Finance officials cited economic risk as their main concern, with finance director Brian Turbitt warning Article 2’s restrictions could cut $2.5 million in annual room tax revenue and up to $40 million in local rental activity.
The Solvang City Council is refining a new short-term rental ordinance that would keep rentals confined to the Village Mixed-Use (VMU) zone and limit the number of permits to 30.
At its September 22 meeting, councilmembers pushed for tighter enforcement after finding many unpermitted STRs in the downtown area. The council also agreed to prohibit homestays, while local business representatives warned that STRs undercut hotels and accessibility standards. Staff will now draft a final ordinance based on these changes for future council consideration.
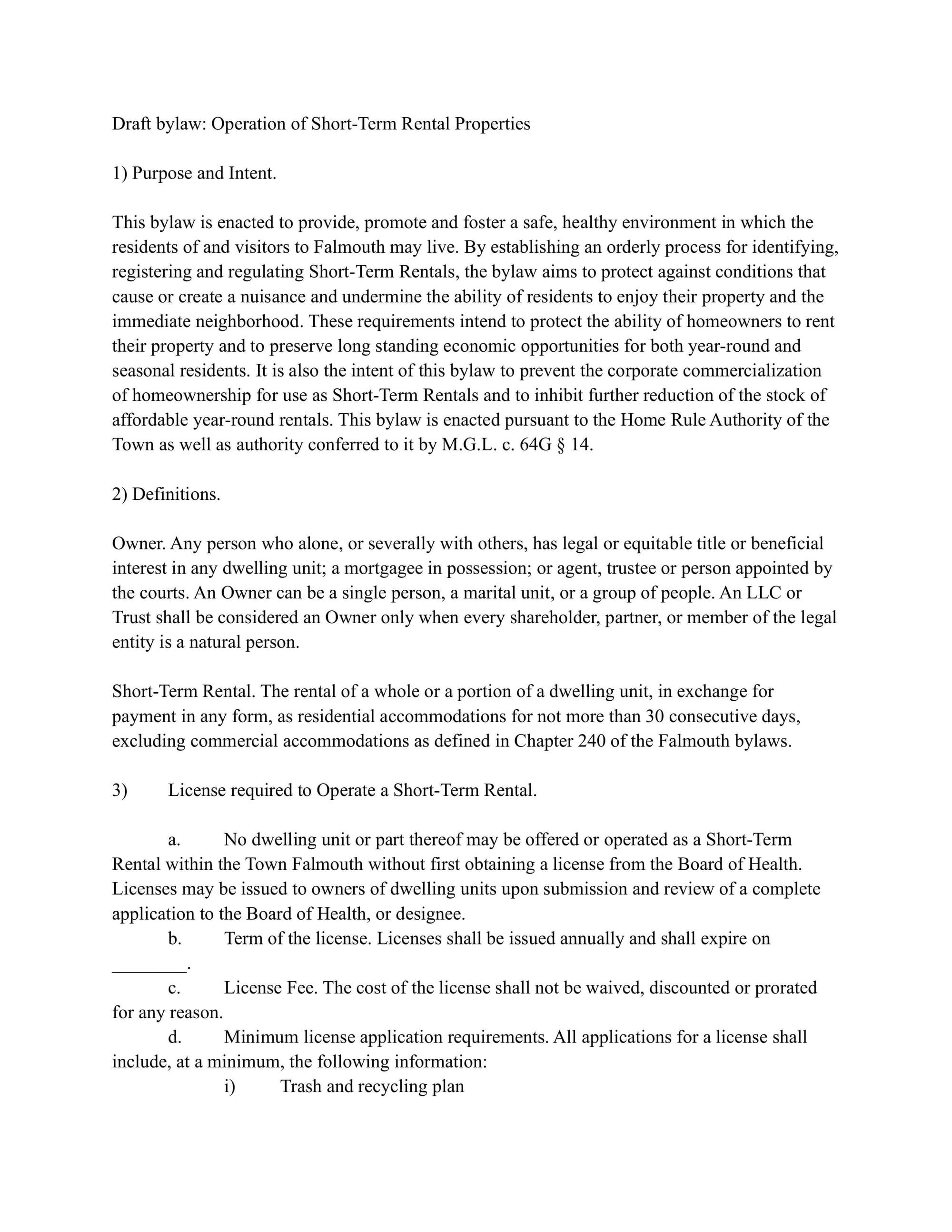
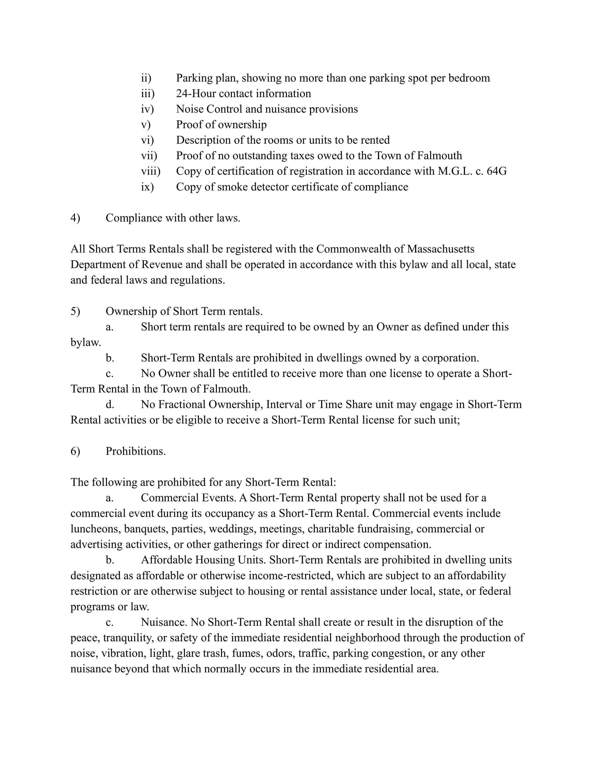
The Short-Term Rental Advisory Committee is drafting a new bylaw aimed at modernizing the town’s approach to Airbnb and Vrbo properties ahead of the April Town Meeting.



Drawing on examples from towns like Provincetown and Plymouth, the committee is refining a version of the bylaw that was postponed last November. Member Thomas Crane is compiling revisions, with plans to hold public hearings in December or early January before submitting the final draft to the Select Board. Warrant articles are due in mid to late January, and the committee will review the updated draft again on October 22.
The DuPage County Board will vote Tuesday on a measure to bring short-term rentals under county regulation for the first time.
The proposal would legalize stays under 30 days, requiring property owners to register annually, pay a fee, and undergo inspections. Officials estimate up to 300 STRs are already operating in unincorporated areas, often flagged only by complaints. The plan also limits occupancy to five unrelated people, though hosts could request temporary exceptions through special event permits.
Hudson’s short-term rental moratorium officially ends October 16, opening the door for new applications under the city’s updated ordinance. The new rules, approved in September, require proof of owner occupancy unless rentals exceed seven consecutive days, and impose a 300-foot buffer between licensed properties.
Preexisting rentals are grandfathered in if ownership and use remain unchanged. The city will issue up to 25 licenses—no more than 15 in the downtown planning districts—once updated forms and residency affidavits are submitted.
Scottsdale has officially amended its zoning code to comply with Arizona’s new ADU law, ending months of resistance over what some city leaders call “an assault on local control.”
The change, approved Sept. 30, aligns the city with HB 2928, which requires municipalities to allow accessory dwelling units—also known as casitas or mother-in-law suites—on most residential lots. While the law permits up to two ADUs per single-family lot and even a third on acre-sized properties, Scottsdale can only limit their size and not impose parking or sprinkler requirements. So far, the city has received just one application, and staff note that HOA restrictions may ultimately curb the impact.

Franklin County is weighing a zoning change that would make short-term rentals easier to operate in residential areas.
The proposal would remove the current requirement for property owners to obtain a special use permit—an update that could open more parts of the Westlake area around Smith Mountain Lake to Airbnb-style rentals. The Planning Commission will revisit the proposal at a November 12 work session.
Santa Fe continues to wrestle with the balance between tourism-driven short-term rentals and a mounting housing shortage.
While more than 1,100 STRs are registered in the city, a 2019 study from Homewise and the Thornburg Foundation found they account for only part of rising costs — roughly one-fifth of housing price growth since 2014. The report also exposed millions in lost tax revenue from noncompliant rentals, spurring stronger enforcement.
In case you missed it:


👍 We’d love your feedback.
Which stories hit? Which ones missed?
We're constantly refining Daily Notes to make it even more useful for you.
✉️ Just reply directly to this email. We read and respond to every message!
-Will McClure
🙋 P.S.
Know someone else who should be reading Daily Notes? Feel free to forward this along. We’re opening a few more spots.

