Daily Regulatory Notes 10/17/24

Daily Regulatory Notes 10/17/24
On today's most recent news...

Greensboro, NC

The City of Greensboro has introduced a new online interactive map to help short-term rental (STR) owners and operators. This map enables users to verify the location of proposed STRs relative to others nearby and comply with local regulations, which require units to be spaced at least 750 feet apart.

Access Greensboro's interactive map here.

Since April, the city has implemented stricter regulations, including occupancy limits and parking restrictions. Operators must obtain a zoning permit to legally rent out properties, and the city has issued 452 permits since the new ordinance took effect. A hotline has also been established to report STR-related issues.


Phoenix, AZ

In response to new state laws, Phoenix must allow homeowners to build two casitas per single-family lot and permit these units to be used as short-term rentals. The new laws also relax setback requirements, allowing ADUs to be built as close as five feet from property lines, and permitting the construction of a third unit on lots of at least one acre.

The city must also allot “not more than 10% of the total existing commercial, office, or mixed-use buildings within the municipality for adaptive reuse and/or multi-family conversion, by right”. Additionally, Phoenix must update its short-term rental regulations to require that homeowners live on the property if it includes multiple casitas. A final vote on the revised regulations is scheduled for November.

A formal vote on the changes will not be held until Nov. 13. In a memo to Council last week, the city administration noted that the new state laws required municipalities to adopt new casita rules before Jan. 1. “Otherwise,” it said, “the City is barred from making any type of restrictions regarding ADUs.”

Want to learn more? Here are the relevant laws:


Jamestown, RI

In 2025, a total of 129 homeowners in the town could operate short-term rentals, assuming all pending applications are approved. The Oct. 1 deadline for new applications has passed, with the only exceptions being ownership transfers. In 2024, there were 120 short-term rentals, and 115 homeowners are seeking renewals which do not require inspections this year due to biennial requirements.

So far, 70 applications have been approved, and the town council will consider them at a meeting on Oct. 21. Neighbors are encouraged to attend to voice concerns, as the council retains the authority to limit the total number of rentals if there are concerns about neighborhood disruptions or impacts on housing availability.

📓 List of Short Term Rental Applications for Review.


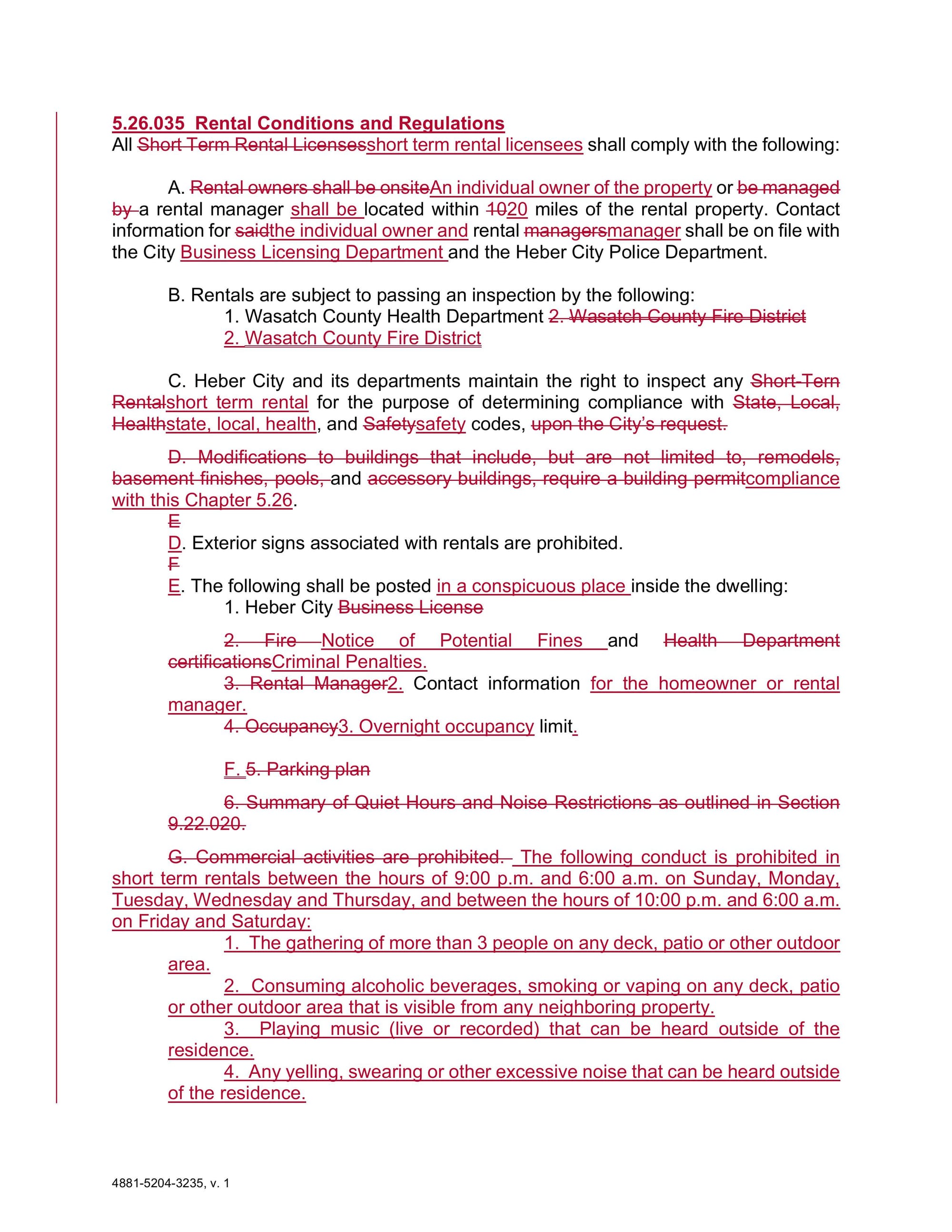
Heber City, UT

Heber City officials are reevaluating their short-term rental regulations after residents’ concerns about the policy being overly restrictive. Proposed restrictions included caps on the number of guests and vehicles per rental, a ban on late-night hot tub use, limits on noise and outdoor activities, and the power to charge owners or managers with fines if guests failed to follow regulations.

Homeowners expressed outrage, suggesting the proposals were unreasonable and discriminatory, with threats of legal action if enforced. Council members voiced their commitment to creating a reasonable policy and has decided to revise the proposal, considering feedback from residents and policies from other Utah communities. An updated plan will be presented at a future meeting.


Ingham County, MI

On November 5, Ingham County voters are set to decide on a proposal to raise the hotel tax from 5% to 8%, which could generate $2.1 million annually. Most of the revenue would be directed to Choose Lansing to support tourism and convention facilities, with the remaining funds going to local organizations like the Ingham County Fair and the Arts Council of Greater Lansing.

⚠️
Though the new tax would not apply to short-term rentals like Airbnbs, county officials are expected to revisit options for taxing those properties in the near future.

Read more about it here: Proposed hotel room tax increase would bolster tourism - City Pulse


Oscoda Township, MI

The Oscoda Township Planning Commission held a public hearing on Oct. 7 to discuss a proposed cap on short-term rental (STR) licenses.

Planning and Zoning Director Rick Buckner said there were multiple reasons why the PC started with the cap of 40. He noted that the first person to apply for a STR license was Deb Rauch. Buckner reported that currently 33 properties are licensed as STRs in Oscoda Township.

The following sparked a debate between residents and property owners. Residents raised concerns about overcrowding and disruptions, while property owners stressed that rentals are essential for maintaining their properties and supporting local tourism. The commission discussed balancing enforcement with property rights, as some members questioned the rationale behind the cap. The final decision on the appropriate number of licenses is still under deliberation.


Chagrin Falls, OH

The Village of Chagrin Falls has implemented its first short-term rental (STR) regulations. A list of 22 potential STRs has been identified, and those registered through the end of 2024 will be covered until 2025. The ordinance requires owners to register by the deadline, submit to safety inspections, and pay a $100 fee.

It also mandates annual registration and aims to ensure that the village has a record of STR properties for addressing issues like maintenance and neighborhood disturbances. Property owners who fail to comply with these requirements face third-degree misdemeanor charges.

“The goal of the short-term rental registration program is to identify these properties and have on record people responsible for owning the property and operating a short-term rental in case any issues arise,” Mr. Jamieson said, such as property maintenance matters or other nuisances. “This protects them and the village and the neighborhoods those properties are located in.”
⁉️
All short term rental properties in the Village of Chagrin Falls are required to become registered with the Village no later than Thursday, December 12, 2024. Check out how to register here.

Lexington, KY

Lexington is setting new short-term rental rules in rural Fayette County, with two key amendments:

  • un-hosted rentals are now allowed on properties under ten acres
  • the proximity requirement between such rentals has been reduced to 500 feet
The regulations for rural STRs include obtaining a conditional use permit, maximum occupancy is two individuals per bedroom, on-site parking, special events like weddings and reunions must be limited to the number of persons staying at the short-term rental - Lexington Council working toward rules for rural short-term rentals - WEKU

The changes affect about 20 to 30 properties. The amendments still require approval from the Council and Planning Commission.

Learn more about short-term rental regulations in Lexington, KY here.


Brentwood, CA

The Brentwood Planning Commission has approved a proposed ordinance that would ban future gas stations, car washes, and short-term rentals. The proposal, aimed at reducing greenhouse gas emissions, would expand options for electric charging stations while explicitly prohibiting homeowners from renting out uninhabitable spaces like pools.

If approved by the City Council, this measure would build on existing bans on vacation rentals in Brentwood, addressing both environmental concerns and issues like unruly house parties.

Some commissioners highlighted the problems - and even recent Bay Area shootings - associated with the vacation rentals that turn into out-of-control house parties, while others expressed concerns about telling homeowners what to do with their properties.

Product Highlight ⭐

STRisker's Interactive Map

STRisker also offers an interactive map where you can track news, meetings, and updates in your chosen location, just like Greensboro’s new interactive map for short-term rental owners!

Sign up today!

Want to stay updated? Check out our other posts.

Daily Regulatory Notes 10/16/24
Columbia, TN Columbia’s short-term rental (STR) market saw a sudden crackdown in August, as the city enforced long-standing but previously ignored zoning laws. Ordinance 4400 prohibits STRs in residential zones unless the owner lives on-site, and enforcement has hit property owners hard. The abrupt shutdown, driven by noise complaints,

Regulatory notes from yesterday

Regulatory Context Weekly (41)
Your go-to summary of key developments in short-term rental regulations nationwide. 🚨 Top Stories This Week 🚨 1. 🌲 Monterey County, CA: New STR Regulations Set to Take Effect October 14 Monterey County’s new short-term rental rules will soon take effect, adding significant complexity to operating vacation rentals. The ordinances establish three

Last week in the Short-Term Rental Industry

Subscribe to STRisker - Short-term rental and data center regulations

Don’t miss out on the latest issues. Sign up now to get access to the library of members-only issues.
jamie@example.com
Subscribe