Daily Regulatory Notes 10/28/24
Dexter Township, MI
A couple's investment in a lakefront property for short-term rental use has sparked debate over local zoning regulations. Owners Amy and Jeffery Bennett purchased the home intending to use it for short-term rentals and invested in renovations but soon faced a zoning complaint and code violation. During an Oct. 22 public hearing, the Bennetts and other STR owners requested the township adopt zoning rules.
```Township officials chose to postpone any voting on STR regulations, opting instead to gather additional input from other community members, short-term rental operators, and safety agencies.







You can also read their proposed ordinance here.
The Planning Commission also voted unanimously to request that the township's Board of Trustees establish a task force to study the issue, with a further discussion planned for February 25.
Watch this space to stay updated on Dexter Township's discussion on zoning.
```Want to track other meetings in your chosen location? STRisker also tracks local councils, committees, commission meetings, and more.
Columbia, TN
"Wednesday night [October 23] was a historic night in our city-for the first time, we had a community conversation on the topic of short term rentals in our community..." - Chaz Molder, Mayor (Yahoo! Voices)
```The survey will be open until November 1st, after which the Planning Commission will consider any potential changes to the zoning ordinance such as the range of land uses. The City will most likely review the recommendations early next year.
Cambridge, MA
Cambridge’s City Council voted Monday to provide stricter rules for short-term rentals, responding to complaints about unregistered properties and community disturbances.
```Current estimates show that over half of the 515 Cambridge short-term rental units are unregistered, making enforcement challenging under the existing ordinance from 2017.
To further close gaps in regulation, the city is also considering requiring platforms to list only registered properties (which may be tricky to implement). Track the status of the ordinance here.
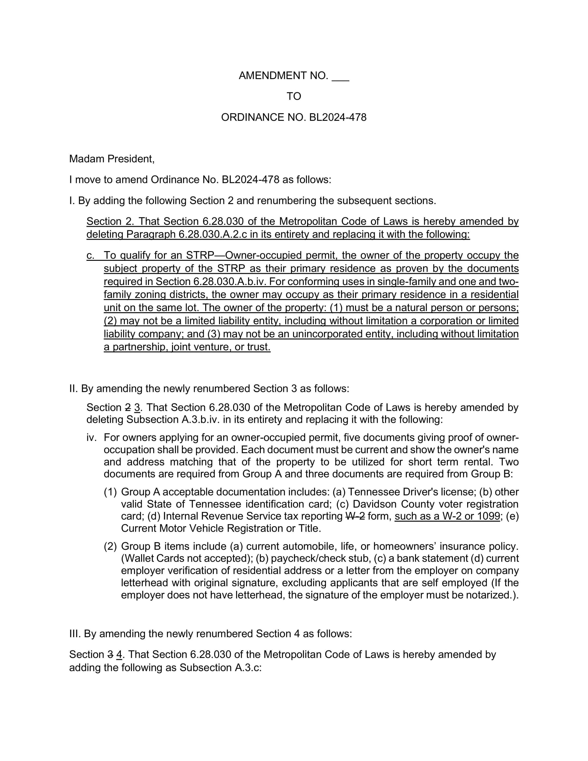
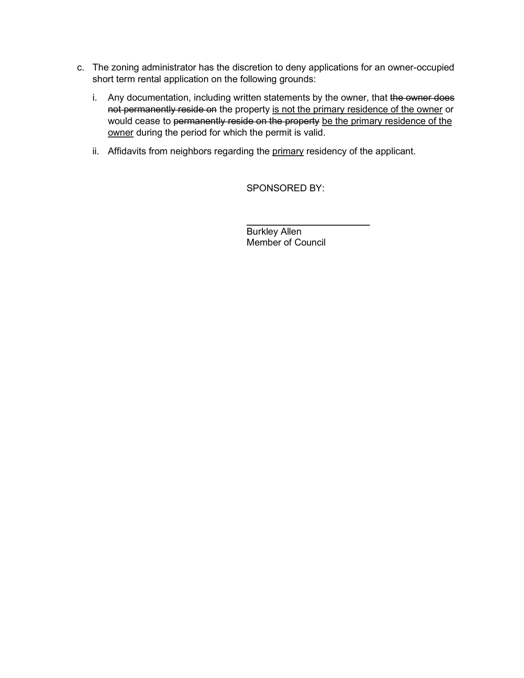
Nashville, TN
At an October 1 Metro Council meeting, Councilmember Burkley Allen’s proposed legislation aimed at tightening regulations for owner-occupied short-term rental permits received attention. Allen, who led a working group to address concerns about fraudulent permit acquisition, proposed increasing the documentation required from applicants from two to five items to better establish residency, a move intended to improve enforcement.
```After receiving feedback, Allen deferred the vote to the October 15 meeting to consider possible amendments — where it was approved in the second reading.




Meanwhile, the council approved, on its second reading, a zoning request for “Patsy Cline’s Dream Home,” a historic short-term rental and museum plan, highlighting the council’s interest in unique rental projects alongside regulatory improvements.

Rockford, IL
On October 28, Rockford’s Code and Regulations Committee discussed an ordinance regulating Airbnb and Vrbo properties.
The ordinance may introduce occupancy limits (two people per bedroom, max ten total), restrict street parking, require contact for property management, and establish a permitting system for property inspections. Alderman Bill Rose, supportive of the ordinance, hopes these measures will protect community character while preserving the economic benefits short-term rentals bring, from local job creation to market entry for underrepresented communities.
Glenn Falls, NY
Glens Falls is drafting new short-term rental (STR) regulations that would ban such rentals in residential neighborhoods with single-family homes. Existing STRs would be given a five-year grace period to operate before they must close. The city is also working on defining STRs and contemplating additional taxes in addition to the county’s 4% occupancy tax.
These proposed changes are the result of a public forum in September and a community survey indicating low support for STRs, with only 15 of 165 respondents expressing a very positive outlook. Survey results for reference.







A public hearing on these regulations can tentatively happen in December. 📆
🔥 Colorado
As Colorado approaches the legislative elections, short-term rentals and housing affordability are hot topics, with state involvement sparking controversy. Despite prior failures to increase taxes on second-home owners and short-term rentals, lawmakers plan to revisit these issues, particularly as the Colorado Association of Ski Towns calls for local taxation authority. Candidates are divided, all sharing their stand on STR regulations.

Paso Robles, CA
⭐Reminder: Starting in November, Paso Robles’ new STR hotline will be live. Residents may now call (805) 227-7224 to report complaints regarding short-term rentals in their area. For additional information on Paso Robles’s Short-Term Rental Regulations, check out PRcity.com.
Don't miss out... here's a summary on last week's notes!
