Global Regulatory Notes (4)
Norfolk, ON approved MAT; Coldstream, BC zoning prohibitions; Happy Valley-Goose Bay, NL levied overnight tax; Wasaga Beach, ON's new STR rules; Emilia-Romagna, Italy's new zoning; Polop De La Marina, Spain approved STR ordinance; Poland; Cyprus; Paris, France; Siem Reap, Cambodia. READ MORE.
CANADA
Norfolk County, ON
MAT presentation and discussion in North County Council-in-Committee last February 10, 2026
Norfolk County approved in principle a 4% Municipal Accommodation Tax on overnight stays of 30 days or less, covering hotels, motels, B&Bs, and short-term rentals, in a 5-4 vote on February 11, 2026, with final approval pending on February 24.
Council also mandated a short-term rental bylaw to ensure equal collection across all accommodation types before any funds are disbursed.
Coldstream, BC
Coldstream isn't budging on short-term rentals. At its February 9, 2026 council meeting, the District reaffirmed its Zoning Bylaw prohibition on platforms like Airbnb, keeping bed and breakfasts as the only permitted exception.
District of Coldstream Zoning Bylaw No. 1838
B&Bs must be owner-operated within the main residence, licensed ($60/year plus $4 per bed), and ALR-compliant where applicable. The decision coincided with Coldstream's 2026–2030 Financial Plan which carries an 8.72% tax increase for 2026.
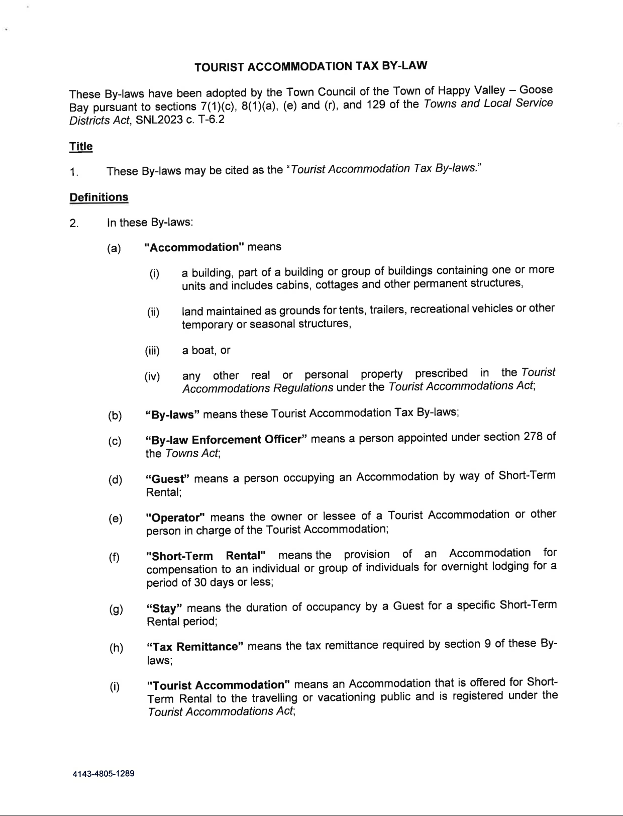
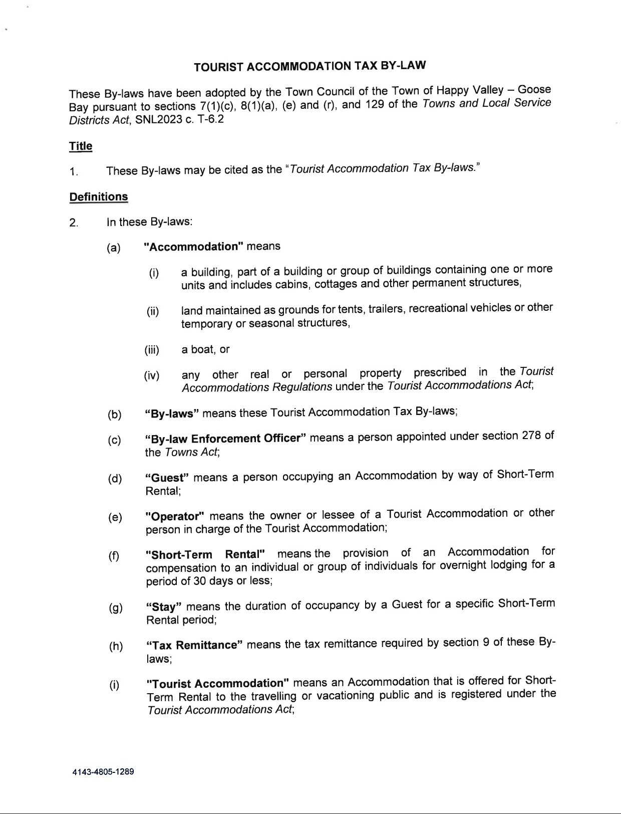
Happy Valley-Goose Bay, NL
Effective April 1, 2026, Happy Valley-Goose Bay will levy a 4% Tourist Accommodation Tax on overnight stays of 30 days or less, covering hotels, motels, B&Bs, and short-term rentals.
The tax is enabled by Newfoundland and Labrador's updated Towns and Local Service District Act, which came into force in January 2025.




Tourist Accommodation Tax By-Law of Town of Happy Valley - Goose Bay
Wasaga Beach, ON
New short-term accommodation rules are coming to Wasaga Beach after council approved a stricter bylaw on February 12, 2026. Licence holders must now develop a neighbourhood partnership plan covering noise, parking, garbage, and site design, with guests bound by a mandatory code of conduct. Fines run $1,000, $2,000, and $3,000 per day for repeat offences.
A 4% Municipal Accommodation Tax also takes effect April 1, 2026, joining Midland, Collingwood, Orillia, and Barrie, with at least 50% directed toward tourism.
AND WHEREAS pursuant to Section 400.1 of the Act and the Ontario Regulation 435117, the Council of The Corporation of the Town of Wasaga Beach wishes to establish the tax rate and to levy a tax on the purchase of transient accommodation within the Town of Wasaga Beach;
EMILIA-ROMAGNA, ITALY
Italy's government formally challenged Emilia-Romagna's mid-December 2025 short-term rental law. This introduced a new urban zoning category for STR properties and allowed municipalities to cap short-term letting in sensitive areas.
The move follows the Constitutional Court's rejection of a similar challenge against Tuscany's law in December 2025, with Apulia and Rome now drafting their own regional rules amid the absence of a national STR framework.
New zoning powers: Emilia-Romagna's December 2025 law categorizes STRs as a distinct urban use and allows local caps in sensitive areas.
Government challenge: In February 2026, Italy’s cabinet formally challenged the law before the Constitutional Court.
National implications: The decision follows a similar challenge to Tuscany's STR law, raising questions about regional authority over housing and tourism policy.
POLOP DE LA MARINA, SPAIN
Polop de la Marina in Alicante, Spain gave initial approval on February 4, 2026 to a new STR ordinance that bans tourist accommodations in the historic old town and caps them at 15% of dwellings in outer urbanizations.
The ordinance now enters a 30-day public consultation period, with existing STR operators given six months to comply with the new requirements once fully adopted.
POLAND
Facing a May 2026 EU deadline, Poland is drafting legislation to regulate short-term rentals nationwide. STRs, defined as stays under 31 days, would be reclassified as hotel services, requiring municipal registration and permits valid up to 10 years, with fines of up to PLN 50,000 for non-compliance.
New rules could reshape Poland’s short-term rental market. A draft law under discussion at the Ministry of Sport and Tourism would tighten oversight, align with EU reporting standards, and impose fines of up to €11,864 for unregistered listings.
— TVP World (@TVPWorld_com) February 13, 2026
Read more ⤵️…
Local governments would retain power to restrict or ban STRs in specific zones, as Poland's estimated 80,000–100,000-unit market faces growing pressure over housing costs and lost tax revenue in cities like Kraków and Warsaw.
CYPRUS
Cyprus President Nikos Christodoulides sent a hotel licensing law back to parliament on February 9, 2026, arguing it unfairly favored non-compliant operators over fully licensed ones.
The law would have allowed accommodations to operate under a special permit for up to five years to address licensing delays. Parliament has 15 days to reconsider.

PARIS, FRANCE
Effective January 1, 2026, Paris raised its tourist accommodation tax, but only at the top end of the market. Nightly rates at five-star hotels climbed to €11.70 (from €11.38), while palace-level stays rose to €15.93 (from €15.60). Rates for one- to four-star hotels and campsites remain unchanged.
Collected automatically by hoteliers and landlords, revenue goes toward tourism development, promotion, and managing the environmental impact of visitors.

SIEM REAP, CAMBODIA
Still reeling from a tourism slump that saw international arrivals drop up to 35% in some months of 2025, Siem Reap's hotels, guesthouses, and travel agencies will continue to benefit from tax relief through December 2026.
The Royal Government extended the exemptions, covering monthly taxes (except VAT and accommodation tax) and 2026 income tax, with industry leaders pushing for similar relief in Phnom Penh and coastal provinces.

STRisker Government Office Dashboard
Trying to keep up with the main players in the STR game? Know your councilmembers, commissioners, committee chairs, and key staff that are part of the process.
Stay Updated with STRisker
STRisker offers tools and features to keep you updated with Short Term Rental movement across the globe.
👍 We’d love your feedback.
Which stories hit? Which ones missed?
We're constantly refining Global Regulatory Notes to make it even more useful for you.
✉️ Just reply directly to this email. We read and respond to every message!
-Will McClure
🙋 P.S.
Know someone else who should be reading Global Regulatory Notes? Feel free to forward this along. We'd love to keep them in the loop on the latest short-term rental trends and regulatory updates from around the world.