đŻ STRisker: Bulletin - Falmouth, MA
Falmouth Town Meeting Adopts STR Rules, Narrowly Passes Water Discharge Bylaw


Falmouth Moves to Regulate Airbnb and Vrbo Properties
Photo by Falmouthtides.com
After years of debate over how to balance tourism with neighborhood stability, Falmouth town meeting members have approved a comprehensive shortâterm rental bylaw, setting clear rules for homeowners, renters, and neighbors alike.
The vote came during the second night of town meeting on April 7, alongside a contentious debate over water discharge regulations that ultimately passed by a razorâthin margin.

đď¸ ShortâTerm Rentals Get Formal Rules
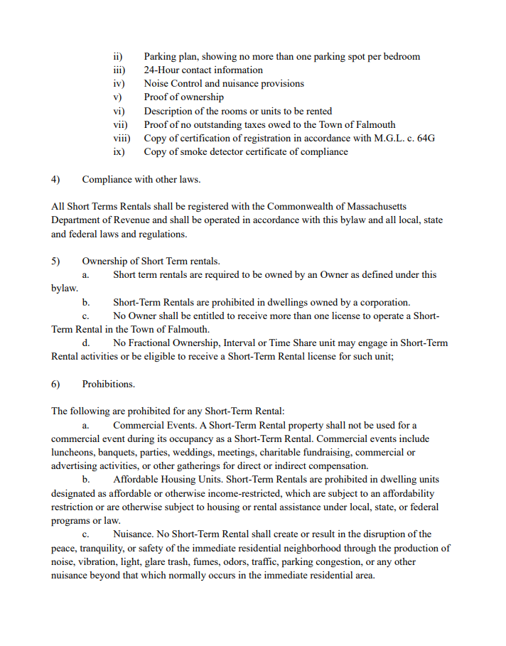
Effective January 1, 2027, the new bylaw creates a licensing system for shortâterm rentals (STRs), requiring property owners to register with the town, submit detailed plans, and designate a local operator available 24/7 within 20 miles. Licenses will be valid for two years, with enforcement shared among multiple departments including police, health, and code enforcement.



Select Board Chairman Doug Brown, who served on the ShortâTerm Rental Advisory Committee, said the measure was prompted by rapid STR growth and concerns about neighborhood disruption.
âWe wanted to get ahead of the curve and get something in place before we really do get more of a problem than we already have,â Brown said.
Committee member Charlotte Harris described the bylaw as preventative. âWe donât really want to have whole neighborhoods turned into sort of unsupervised hotels,â she said.
đ Key Provisions
Residents voiced concerns about definitions, fees, and parking. Seth Wochensky said the law felt too sweeping. âItâs a real swing of the pendulum from nothing to what we have here. Itâs a little extreme in certain areas,â he said.

Trustees acknowledged the bylaw isnât perfect but stressed the need to act. âThere are some rough areas, but by and far, it is a really sound document,â said Trustee Mary Padasak. Trustee Jessica Schuster added that laws are âliving, breathing documentsâ that can be revisited. Trustee Russ Belscher was blunt: âWe got to get something on the books. We canât keep extending this moratorium.â
Stay Updated with STRisker
STRisker offers tools and features to keep you updated with the Short-Term Rental movement across the globe.
đ Weâd love your feedback.
Which stories hit? Which ones missed?
We're constantly refining Daily Notes to make it even more useful for you.
âď¸ Just reply directly to this email. We read and respond to every message!
-Will McClure
đ P.S.
Know someone else who should be reading Daily Notes? Feel free to forward this along. Weâre opening a few more spots.